Elanlar
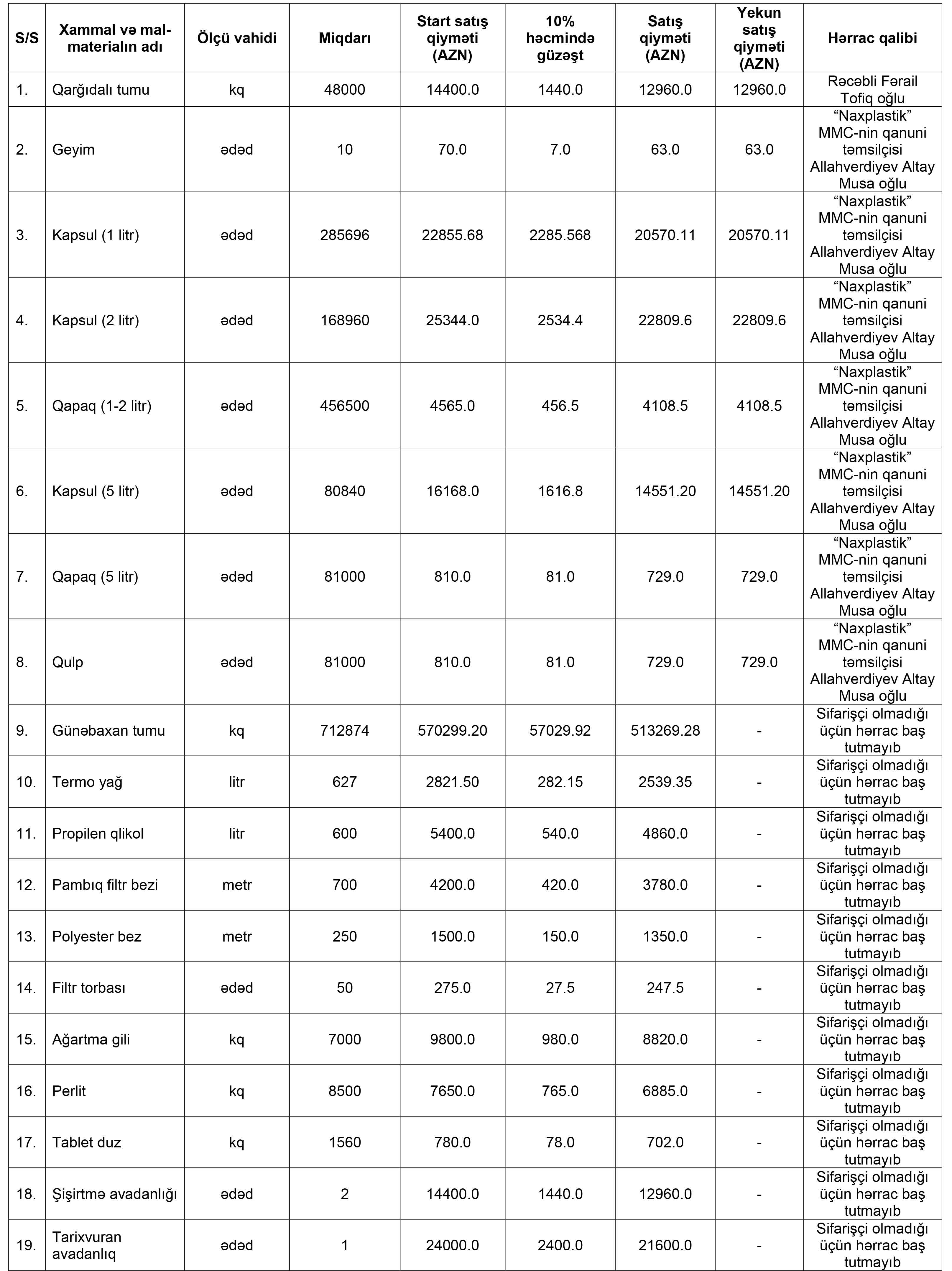
Naxçıvan MR İqtisadiyyat Nazirliyi yanında Əmlak Məsələləri Dövlət Xidmətinin tabeliyində “Hərracların Təşkili Mərkəzi” publik hüquqi şəxs tərəfindən 01 aprel 2025-ci il tarixdə keçirilən xammal və mal-materialların satışı üzrə hərracın nəticələri
