Elanlar
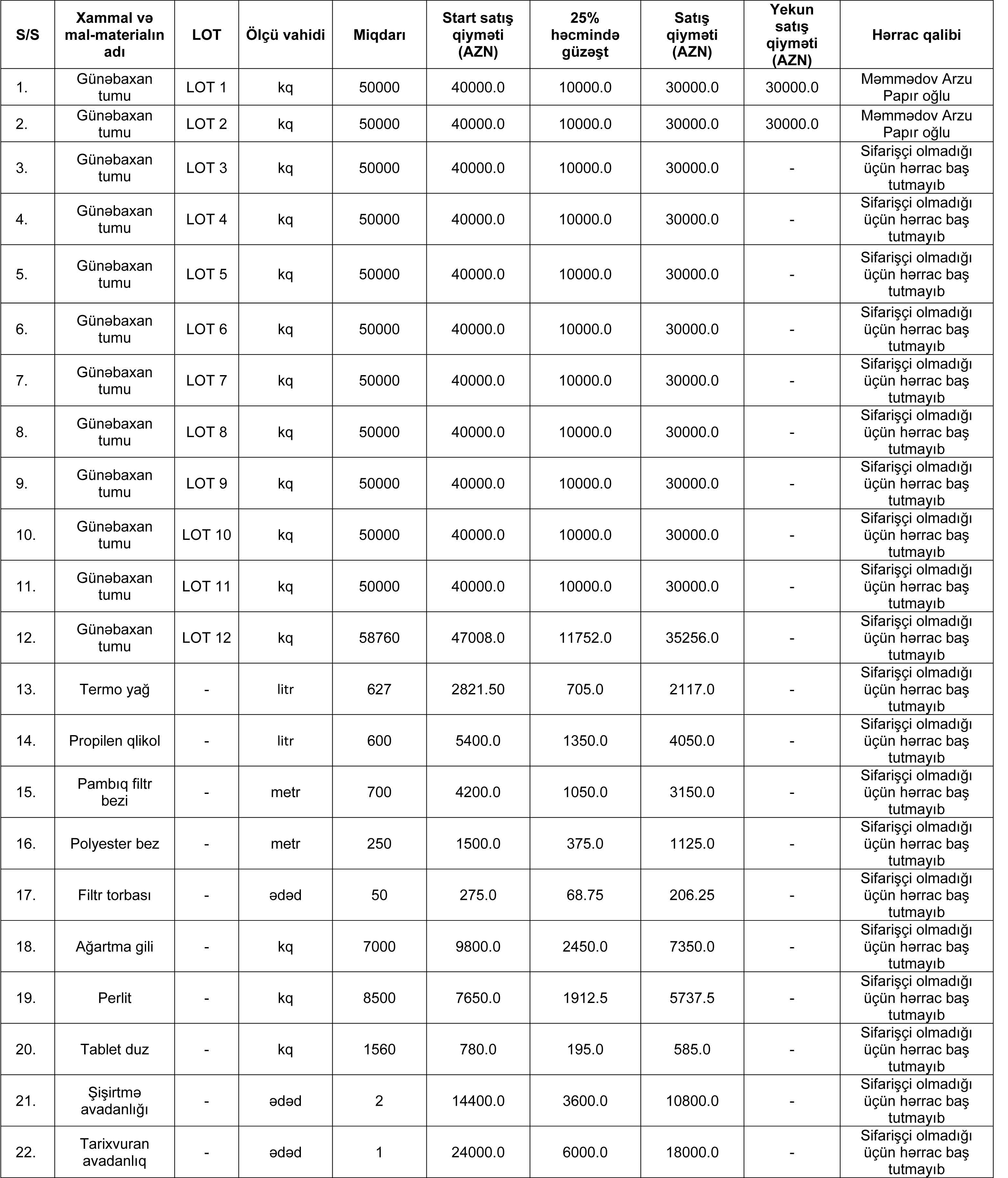
Naxçıvan MR İqtisadiyyat Nazirliyi yanında Əmlak Məsələləri Dövlət Xidmətinin tabeliyində “Hərracların Təşkili Mərkəzi” publik hüquqi şəxs tərəfindən 13 may 2025-ci il tarixdə keçirilən xammal və mal-materialların satışı ilə bağlı hərracın nəticəsi
