Elanlar
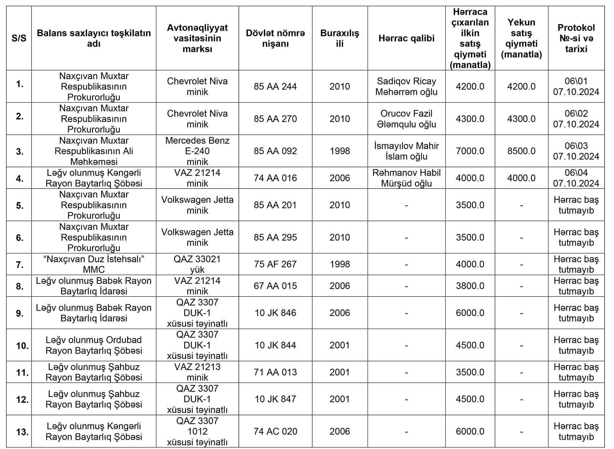
Naxçıvan Muxtar Respublikasının İqtisadiyyat Nazirliyi yanında Əmlak Məsələləri Dövlət Xidmətinin tabeliyində “Hərracların Təşkili Mərkəzi” publik hüquqi şəxs tərəfindən 7 oktyabr 2024-cü il tarixdə hərracda satılmış nəqliyyat vasitələrinin siyahısı
